Avançar para o conteúdo
Início » Movimento uniforme

Movimento uniforme

    Movimento uniforme

    Movimento uniforme é aquele em que a velocidade instantânea permanece constante.

    Em termos gráficos temos;

    Gráficos e equações do movimento uniforme

    Conforme podemos ver o gráfico da velocidade em função do tempo em uma linha recta  horizontal.

    Importa referir que em um gráfico da velocidade em função do tempo calculando a área estaremos determinando a variação do espaço A=∆x , sendo que a figura em um rectângulo a área e obtida pelo produto do comprimento pela largura sendo que o comprimento vale ” t” a a largura vale “v”

    A=∆x=v•t

    ∆x=v•t

    x-x₀= v•t

    x=x₀+v•t

    X(t)= x₀+v•t

    Gráfico do espaço em função do tempo

    A equação do espaço “x(t)= x₀+v•t” e uma equação do primeiro grão postado o seu gráfico será uma linha recta

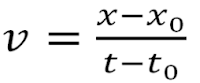
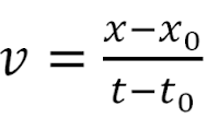
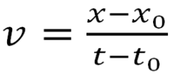
    Com o gráfico podemos concluir que a inclinação da recta representa a velocidade, e podemos determinar a partir da expressão:

    Exercícios para consolidar a matéria sobre o movimento uniforme

    1)Um móvel desloca se segundo a equação x(t)= 40+2t (no sistema internacional)

    a) Determine o espanco inicial

    b) Determine a velocidade do móvel

    c) Determine o espanco no istante t=5s

    d) Determine o instante em que o móvel passa na posição  x=56m

    e) Represente os gráficos para este movimento.

    Resolução

    a) Comparado a equação x(t)= x₀+v•t e x(t)= 40+2t podemos concluir que o espanco inicial x₀ vale 40m

    x(t)= x₀+v•t

    x(t)= 40+2t

    b)  Comparado a equação x(t)= x₀+v×t e x(t)= 40+2t podemos concluir que a velocidade do móvel vale 2m/s

    c)   Para determinar o espanco no instante t=5s basta na equação do espanco “ x(t)= 40+2t ” onde vêm ” t” substituímos por 5s x(5)= 40+2×5 x(5)= 40+10 x(5)= 50m Portanto espanco no instante t=5s vale 50m

    d)     Para determinar o instante em que o móvel passa na posição  x=56m  basta na equação do espanco “ x(t)= 40+2t ” onde vem ” x” substituímos por 56m

    56= 40+2t  

    40+2t=56

    40+2t=56-40

    2t=16

    t=16/2

    t=8s Portanto o móvel passa na posição  x=56m no instante t=8s

    e)      Para represente os gráficos iremos usar os conceitos que nos demos anteriormente.
    O gráfico da velocidade em função do tempo Vimos que a velocidade é constante e para o exercício em questão na alinha “b” dissemos que vale 2m/s Então seu gráfico será:

    O gráfico da posição em função do tempo é uma linha recta ,vimos que x₀=40m e na alinha “c” vimos que  quando t=5s x=50m então temos;

    2. Um móvel desloca-se de acordo com o gráfico

    Determine sua a) posição inicial, b) sua velocidade e a c) função horária

    Resolução

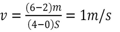
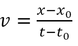
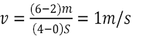
    a a) De acordo com o gráfico concluímos que a posição inicial vale 2m bb)   Para encontrar a velocidade bata usar a expressão

    Sendo que x=6m;  x₀=2m;    t=4s;    t₀=0s

    c) Para determinar a função horária basta na equação “ x(t)= x₀+v•t” onde vem x₀ , substituir pelos respectivos valores. x(t)= x₀+v•t sendo que o x₀=2m e v=1m/s

    x(t)= 2+1•t

    x(t)= 2+t