Avançar para o conteúdo
Início » Teorema de Pitágoras (demonstração e resolução de exercícios)

Teorema de Pitágoras (demonstração e resolução de exercícios)

    O teorema de Pitágoras ajuda-nos a resolver diversos exercícios de geométrica.

    Enunciado do Pitágoras

    Para um triângulo rectângulo a soma dos quadrados dos catetos é igual a ao quadrado da hipotenusa.

    Demonstração teorema de Pitágoras

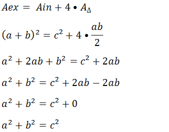
    Para fazer a demonstração do teorema de Pitágoras, vamos desenhar um quadrado e dentro dele desenhar um outro quadro menor e inclinamos ele de modo que surjam 4 triângulos rectângulos idênticos

    A área do quadrado é lado ao quadrado

    * Para o quadrado externo o lado é (a+b) então a área do quadrado externo será Aex=(a+b)²

    * Para o quadrado interno o lado é “c” então a área do quadrado externo será Ain=c²

    “A área do quadrado externo é igual a soma da área dos 4 triângulos e do quadrado interno”

    O que estamos a ver no triângulo é que;

    c- chamamos de hipotenusa

    a, b são chamados de catetos

    O Teorema demonstrado acima é chamado de teorema de Pitágoras

    Exercícios resolvidos sobre teorema de Pitágoras

    1.Para a figura abaixo determine a mede do lado x

    A figura é um triangulo rectângulo e o lado x representa a hipotenusa portado pode ser calculado usando o teorema de Pitágoras.

    Dados

    a=3cm

    b=4cm

    x=?

    Formula

    x²=a²+b²

    Resolução

    x²=3²+4²

    x²=9+16

    x²=25

    x=√25

    x=5

    A medida do lado x do triângulo a vale 5cm

    2.Calcule a mediada do cateto “y”

    A figura é um triangulo rectângulo e sendo assim a lado y pode ser encontrado usando o teorema de Pitágoras, tendo em que a hipotenusa vale 25cm e um dos catetos vale 20cm e outro cateto é o y.

    Dados

    h=25cm

    C1=20cm

    y=?

    Formula

    h²=C²1+y²

    Resolução

    25²=20²+y²

    625=400+ y²

    y²=625-400

    y²=225

    y=√225

    y=15

    Feito os cálculos (recorrendo ao teorema de Pitágoras) constatamos que medida do lado y do triângulo a vale 15 cm

    Trigonometria no triângulo rectângulo

    3. Qual é a mediado do maior lado de um triângulo rectângulo os dois lados menores valem 12cm e 16cm.

    O maior lado de um triângulo rectângulo é a hipotenusa, vamos desenhar um triângulo com as medidas dadas para facilitar a compressão

    Dados

    C2=16cm

    C1=12cm

    h=?

    Formula

    h²=C²1+ C²2

    Resolução

    h²=12²+16²

    h²=144+256

    h²=144+256

    h²=400

    h=√400

    h=20 cm

    A medida do maior lado do triângulo corresponde a medida da hipotenusa e feito os cálculos usando o teorema de Pitágoras podemos ver que a medida da hipotenusa (maior lodo do triângulo) vale 20 cm.

    4.Calcule a altura da Maria

    Dados

    Observando a figura podemos notar que a altura da Maria representa um dos catetos do triângulo, portando pode ser determinado usando o teorema de Pitágoras.

    Representaremos a altura da Maria como H,  a hipotenusa como h (a partir da figura h=245) e o outro cateto como C1 (C1=147 de acordo com a figura).

    h=245cm

    C1=147cm

    H=?

    Formula

    h²=C²1+H²

    Resolução

    245²=147²+H²

    60025=21609+ H²

    H²=60025-21609

    H²=38416

    H=√38416

    H=196cm

    A altura da Maria é de 1m e 96cm

    5.Usando o teorema de Pitágoras, calcule a medida dos catetos de um triângulo rectângulo sabendo que a media de um dos catetos é dobro do outro e a hipotenusa vale 20 dm

    Dados

    C2=2C1

     Resolução

    h²=C²1+ C²2

    20²= C²1+ (2 C1

    400= C²1+4 C²1

    400= 5 C²1

    5 C²1=400

    1=400/5

    1=80

    C1=√80

    C1=√(16•5)

    C1=4√5

    Inicialmente dissemos que a medita do cateto dois é o doutro do cateto um, a partir dessa relação vamos determinar a medida do cateto dois.

    C2=2C1

    C2=2•4√5

    C2=8√5

    As medidas dos catetos são 4√5 dm e 8√5 dm.

    6. Em um triângulo rectângulo ABC sabe se que a medida de AC é 6cm e AB é 8cm determine a medida do lado BC

    Primeiramente vamos desenhar o triângulo rectângulo

    A medida BC é a hipotenusa do triângulo rectângulo ABC, para a determinação (para o calculo da sua medida) usaremos o teorema de Pitágoras

    Dados

    AB=6cm

    AC=8cm

    BC=?

    Formula

    BC²=AB²+ AC²

    Resolução

    BC²=6²+8²

    BC²=36+64

    BC²=100

    BC=√100

    BC=10cm

     A partir do teorema de Pitágoras podemos determinar o valor de BC e é 10cm

    Exercícios sobre teoremas de Pitágoras para praticar

    1.Para o triângulo abaixo determine a mede do lado y

    2.Qual é a mediado do menor lado de um triângulo rectângulo sendo que os dois lados maiores a este medem 350cm e 256cm

    3.Calcule a altura da casa utilizando o teorema de Pitágoras

    4.Usando o teorema de Pitágoras calcule a medida do dos catetos de um triângulo rectângulo sabendo que a medida da hipotenusa é o triplo da medida de um dos catetos e o outro vale 5 cm.

    5. Em um triângulo ABC sabe se que a medida de AB é 25cm e BC é 32cm determine a medida do lado AC sabendo que este é um triângulo rectângulo.