Avançar para o conteúdo
Início » Trigonometria no triângulo rectângulo

Trigonometria no triângulo rectângulo

    Trigonometria no triângulo rectângulo e Identidade trigonométrica fundamental

    Para estudamos e compreendermos as relações trigonométricas no triângulo, vamos desenhar a um triângulo.

    O lado a chamaremos de cateto adjacente ao ângulo (x)

    O lado b chamaremos de cateto oposto ao ângulo (x)

    O lado c chamaremos de hipotenusa

    Relações trigonométricas no triângulo rectângulo

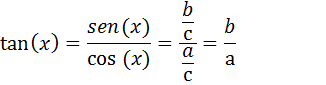
    *Seno do ângulo x representa a razão entre o cateto oposto (b) e a hipotenusa (c) ;

    *Cosseno do ângulo x representa a razão entre o cateto adjacente (a) e a hipotenusa (c) ;

    *Tangente do ângulo x representa a razão entre o cateto oposto (b) e o cateto adjacente (a);

    *Co-tangente do ângulo x representa a razão entre o cateto adjacente (a) e o cateto oposto (b);

    Identidade trigonométrico fundamental

    Demonstração de identidade trigonométrica fundamental

    Visto que temos um triângulo rectângulo podemos escrever então é valido o teorema de Pitágoras

    a²+b²=c²

    Vamos dividir ambos membros por “c²”

    No primeiro membro vamos colocar o numerador e denominador na mesma potencia, e no e no segundo membro temos pois c²/ c²=1.

    Vimos que cos(x)=a/c e sen(x)=b/c então temos;
    cos²(x)+sen²(x)=1

    Essa equação é chamado de identidade trigonométrico fundamental

    cos²(x)+sen²(x)=1

    A identidade trigonométrica tem muita aplicação em diverso ramos da matemática e não só.

    Exercícios resolvidos sobre trigonometria no triângulo

    1.Para a figura abaixo determine o valor de cos(x); sen(x) e tag(x)

    A figura é um triangulo rectângulo e o lado x representa a hipotenusa portado pode ser calculado usando o teorema de Pitágoras.

    Dados

    b=3cm

    a=4cm

    Formula

    cos(x)=c/a

    O valor achar o valor de “c” usaremos o teorema de Pitágoras;

    c²=a²+b²

    c²=3²+4²

    c²=9+16

    c²=25

    c=5

    Agora tenho todos os valores do lado triângulo podemos facilmente calcular os valores desejada.

    * cos(x) é a razão entre o cateto adjacente e a hipotenusa no nosso triângulo o cateto adjacente é “a” e a hipotenusa é “c”então cos(x) será;

    cos(x)=a/c=4/5

    * sen(x) é a razão entre o cateto oposto e a hipotenusa no nosso triângulo o cateto oposto é “b” e a hipotenusa é “c” então sen(x) será calculado como;

    sen(x)=b/c=3/5

    * tan(x) é a razão entre o cateto oposto e o cateto oposto no nosso exercício olhado o triângulo podemos ver que o cateto oposto é “b” e o cateto adjacente é “a” então tan(x) será encontrado a partir dessa razão;

    tan(x)=b/a=3/4

    Resposta; Os valores são; cos(x)=4/5 ; sen(x)=3/5 ;tan(x)=3/4

    Teorema de Pitágoras

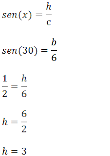
    2.Encontre os valores de h e b

    Dados

    h=?

    b=?

    c=6cm

    A medida de h pode ser determinada recorrendo a função trigonométrica seno uma vez que temos a hipotenusa e o ângulo.

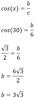
    A medida de b (por se tratar do cateto adjacente) pode ser determinada recorrendo a função trigonométrica cosseno uma vez que temos a hipotenusa e o ângulo.

    Observação; poderíamos também determinar a medida de b recorrendo ao teorema de Pitágoras.

    3. Calcule a medida da altura do triângulo ADC de h

    Vamos desenhar o triângulo com um ângulo oposto a altura que chamaremos de ß

    Para o triângulo AEB tanβ corresponde a razão entre BE e AB;

    Para o triângulo ADC tanβ corresponde a razão entre CD e AC;

    O beta (β ) é o mesmo nas duas equações então vamos igualar as duas equações temos e calcular o valor da altura;

    A medida de h é 10m    

    4.Calcule a altura da casa utilizando os conhecimentos de trigonometria

    Dados

    A altura da casa representa a media de AB, e este corresponde ao cateto oposto do triângulo ABC, e como temos o cateto adjacente e o ângulo podemos determinar a medida dessa altura usando a função tangente

    h=AB=?

    AC=4m

    α =30˚

    A altura da casa é de 4√3 m

    já que temos a função seno para determinar o valor de cosseno podemos usar a identidade trigonométrica fundamental;

    Nota; só de conhecermos o valor de sen(x) , a partir da identidade trigonométrica já é possível achar o valor de; cos(x); tan(x) e ctg(x).

    Exercícios sobre trigonometria no triângulo para praticar

    1.Para a figura abaixo determine o valor de cos(x); sen(x) e tag(x)

    2. Encontre os valores das medias da altura e da hipotenusa.

    3.Sabendo que o valor de sen(x) é 0,8 entre o valor de cos(x)

    4.Calcule a altura da casa utilizando os conhecimentos de trigonometria

    5. Em um triângulo ABC sabe se que a medida de AB é 25cm e o ângulo  vale 30˚ determine a medida da altura desse triângulo.

    Para terminar veja mais uma aula;