Função analítica
Seja uma função complexa f(z) talque;
f(z)=u+iv onde u=u(x,y) e é a parte real da função f(z) e v=(x,y) e é a parte imaginaria de f(z).
Dissemos que f(z) é analítica se ela satisfaz as condições de Cauchy que são;
* Uma função analítica em uma região R possui as derivadas em R e estas por sua vez são analíticas.
Exercícios resolvidos sobre função analítica
a) Verifique se a função f(z)=z+1 é analítica
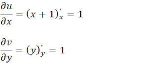
f(z)=z+1
f(z)=x+iy+1
f(z)=x+1+iy
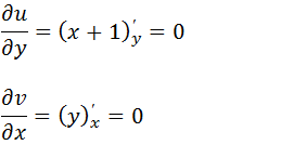
u=x+1
v=y
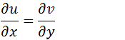
Vamos verificar se a função satisfaz as condições de Cauchy
Vamos calcular essas derivadas e verificar se elas são iguais
A primeira condição de Cauchy esta verificada
A gora vamos verificar se a segunda condição também se verifica
A segunda condição também esta verificada então
Como a função satisfaz as duas condições para que seja analítica então
f(z)=z+1 é analítica
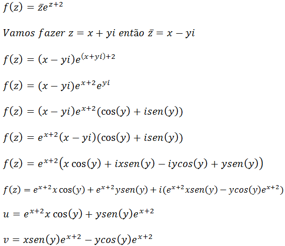
b) Verifique se a função é analítica
f(z)=zž+2z
Vamos fazer z=x+yi então ž=x-yi
f(z)=(x+yi)(x-yi)+2(x+yi)
f(z)=(x+yi)(x-yi)+2x+2yi
f(z)=x²-(iy)²+ 2x+2yi
f(z)=x²+y²+ 2x+2yi
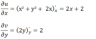
u= x²+y²+ 2x
v=2y
Vamos verificar se a função satisfaz as condições de Cauchy
Vamos calcular essas derivadas e verificar se elas são iguais
Como a condição de Cauchy não se verifica a função f(z) não é analítica
c) Verifique se a função é analítica
Vamos verificar se a função satisfaz as condições de Cauchy
Vamos calcular essas derivadas e verificar se elas são iguais
Podemos notar que;
Como a condição de Cauchy não se verifica a função f(z) não é analítica
Exercícios para praticar função analítica
a) Verifique se a função f(z)=z³+|z|+z é analítica
b) A função f(z) é analítica ? Justifique por meio de um cálculo.
c) Verifique se a função f(z) é analítica ou não
Veja mais uma das nossa aulas
Equação diferencial com variáveis separáveis
O que são equações diferencial com variáveis separáveis? Equação diferencial com variáveis sepa…
Curso de cálculo de Limites online
Informação sobre o curso O curso é destinados a todos que queiram aprender cálculo de lim…
Calculadora Casio fx-991 MS
Maquina cientifica Casio fx-991 MS Temos disponível calculadora cientifica Casio fx-991 MS, este é u…
Calculadora Casio fx-991 Plus
Maquina de calcular Casio fx-991 Plus Temos disponível calculadora cientifica Casio fx-991 Plus, est…
Livro de calculo integral
Livro de calculo Integral Caso você queira aprender calculo integral recomendamos a você adquirir o …
Apostila de Cálculos de limites (Ebook de calculo I)
Apostila de cálculo de limite Você sabia que tem um Ebook de cálculo de limites que pode ajudar você…

