Antes de aprendermos a derivar uma função implícita é necessário saber o que é uma função implícita!
Definição de função implícita
Uma função implícita é uma função do tipo F(x,y)=0
Exemplo de função implícita
a)x+y=0
b)ln(x)+sen(x+y)=0
c)x²+y²+3=3x
d)(x+y)²+4ln(x)=sen(x)
Como derivar uma função implícita
Para derivar uma função implícita vamos usar as mesma regras de derivada que aprendemos ante aqui.
Dica prática para derivar a função implícita
Ao derivada uma derivar uma função implícita temos de ter em conta que estamos a derivar y em relação a x então;
-A derivada de y será; (y)’=y’
-A derivada de x será (x)’=1
Exercícios resolvidos sobre derivada de função implícita
a) Calcule a derivada da função implícita y+x²=1
Estamos perante uma função implícita, para achar y’ iremos derivar ambos membros.
y+x²=1
(y)’+(x²)’=(1)’
A derivada de y é y’ e a derivada de x² é (x²)’=2x e a deriva de 1 é zero.
y’+2x=0
y’=-2x
b) Encontre a derivada da função y⁴+x²=2x³
A função esta na forma implícita, para achar a derivada vamos derivar cada parcela.
y⁴+x²=2x³
(y⁴)’+(x²)’=(2x³)’
“A derivada de y⁴ é =(y⁴)’=4y³y’ e a derivada de x² é (x²)’=2x e a deriva de (2x³) é (2x³)’=6x².”
4y³y’+2x=6x²
4y³y’=6x²–2x
y’=(6x²–2x)/4y³
y’=(3x²–x)/2y³
c) Encontre a derivada da função implícita y²+x²=9
Iremos derivar de forma análogo aos primeiros exercícios
y²+x²=9
2yy’+2x=0
2yy’=-2x
y’=-2x/2y
y’=-x/y
d) Ache a derivada de primeira ordem da função implícita yx+sen(x)=2x
Vamos derivar derivando cada parcela da soma
(yx)’+(sen(x))’=(2x)’
“(xy)’ é uma derivada do produto e é igual a y’x+yx’ e a deriva de sen(x) é cos(x) e derivada de 2x é 2“
y’x+yx’+cos(x)=2
“já sabemos que x’=1”
y’x+y•1+cos(x)=2
y’x+y+cos(x)=2
y’x=2-cos(x)-y
y’=[2-cos(x)-y]/x
e)Encontre a derivada de y⁴x+x³=cos(x+2y)+5
y⁴x+x³=cos(x+2y)+5
(y⁴x)’+(x³)’=[cos(x+2y)]’+(5)’
(y⁴)’x+ y⁴(x)’+3x²=-(x+2y)’sen(x+2y)+0
4y³y’x+ y⁴•1+3x²=-[(x)’+(2y)’]sen(x+2y)
4y³y’x+ y⁴+3x²=-(1+2y’)sen(x+2y)
4y³y’x-2y’sen(x+2y)=-sen(x+2y)– y⁴-3x²
y’[4y³x-2en(x+2y)]=-sen(x+2y)– y⁴-3x²
y’=[-sen(x+2y)– y⁴-3x²]/[4y³x-2en(x+2y)]
f)calculo y’ se y=cos(y)+2x
y=cos(y)+2x
y’=-y’sen(y)+2
Forma de derivada de função implícita
Para além de derivar a função implícita usando o método de resolução que nos vimos acima podemos derivar usando uma forma que veremos abaixo;
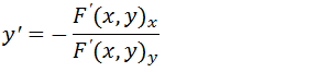
Seja a função implícita F(x,y) então a sua deriva pode ser calculada com base na formula;
*Onde F’ (x,y)x significa derivar F em relação a x ,tendo em conta que y é constante
*Onde F’ (x,y)y significa derivar F em relação a y ,tendo em conta que x é constante
Exercícios de derivada de função implícita usando a fórmula;
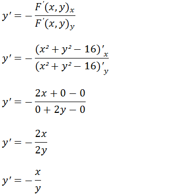
a)Usando a forma da deriva da função implícita calcule a derivada de x²+y²=16
Para calcular a derivada da função implícita x²+y²=16 primeiro devemos colocar a função na forma F(x,y)=0 faremos isso passando o 16 para o primeiro metro depois disso é so usar a formula que vimos acima.
x²+y²=16
x²+y²-16=0 logo;F(x,y)= x²+y²-16
Nota ; No numerados seguido a forma da derivada de funções implícita nos derivamos em relação a x e y é considerado uma constante (y²)’=0
No denominador derivamos em relação a y e x é considerado uma constante logo (x²)’=0
b) Calcule a derivada de x⁴+3x³y²=-xsen(y)
Para calcular a derivada da função implícita x⁴+3x³y²=-xsen(y) primeiro devemos colocar a função na forma F(x,y)=0 faremos isso passando o – xsen(y) para o primeiro metro depois disso é só aplicar a formula da derivada.
x⁴+3x³y²=-xsen(y) da função implícita
x⁴+3x³y²+xsen(y)=0entao F(x,y)= x⁴+3x³y²+xsen(y)
Nota ; De acordo com a formula da derivada de funções implícitas No numerador nos derivamos em relação a x e y é considerado uma constante logo (3x³y²)’=9x²y² uma vez que y é constante, e [ xsen(y)]’=sen(y) pois y é constante então sen(y) também seja uma constante, como se fosse (ax)’=a onde no nosso caso o nosso “a” é sen(y).
No denominador derivamos em relação a y e x é considerado uma constante lodo (3x³y²)’=6x³y uma vez que x é constante, e [ xsen(y)]’=xcos(y) pois x é constante.
-No denominador derivamos em relação a y e x é considerado uma constante logo (x²)’=0
Derivada de ordem superior para uma função implícita
O cálculo da derivada de ordem superior é feito derivado a expressão da primeira derivada atem encontrar a derivada de ordem desejada.
Exercícios de calculo de derivadas de ordem superior
a)Calcule a deriva de segunda ordem para a função y+ 4x= -x+3y²
y+ 4x= -x+3y²
(y)’+ (4x)’= (-x)’+(3y²)’
y’+ 4= -1+6yy’
(y’)’+ (4)’= (-1)’+(6yy’)’
y’’+ 0= 0+6y’y’+6yy’’
y’’= 6y’y’+6yy’’
y’’-6yy’’= 6y’y’
y’’(1-6y)= 6y’y’
y’’= 6y’y’|(1-6y)
b)Calcule a deriva de ordem dois para a função 2y⁴+ 5= -3x+x²
2y⁴+ 5= -3x+x²
(2y⁴)’+ (5)’= (-3x)’+(x²)’
8y³y’+ 0= -3+2x
8y³y’= -3+2x
(8y³y’)’= (-3)’+(2x)’
24y²y’y’+8y³y’’= 0+2
24y²y’y’+8y³y’’= 2
8y³y’’= 2–24y²y’y’
y’’= [2–24y²y’y’]/8y³
c)Calcule a deriva de segunda ordem para a função y+ycos(x)+4x=x³-y
y+ycos(x)+4x=x³-y
y’+y’cos(x)+ y[cos(x)]’+(4x)’=(x³)’-y’
y’+y’cos(x)- ysen(x)+4=3x²-y’
y’’+(y’)’cos(x)+ y’[cos(x)]’-{ y’sen(x)+ y[sen(x)]’}+(4)=(3x²)’-(y’)’
y’’+y’’cos(x) -y’sen(x)-y’sen(x)- ycos(x)+0=6x-y’’
y’’+y’’cos(x) -2y’sen(x)- ycos(x)=6x-y’’
y’’+y’’cos(x) +y’’=6x+2y’sen(x)+ ycos(x)
y’’(1+cos(x) +1)=6x+2y’sen(x)+ ycos(x)
y’’(2+cos(x))=6x+2y’sen(x)+ ycos(x)
y’’=[6x+2y’sen(x)+ ycos(x)]/(2+cos(x))
Exercícios de derivada de funções paramétricas para praticar
a) Calcule a derivada da função implícita y+x=2
b) Ache a derivada da função implícita 4y+x²=4x
c) Encontre a derivada da função implícita ysen(y)+(yx)²=ln(2)
d) Calcule a derivada da função implícita ln(y+x²)=xy-2
2.Usando a forma de derivada de funções implícita calcule a derivada de;
a)y⁴+x-2x=0
b)y+x²=4x
c) ysen(y)+(yx)²=xln(y)
d) ln(y+x²)+sen(x)=-2xy
3.Derivadas de ordem superior
a)Calcule a deriva de ordem dois para a função 2y⁴+ 5xy= -3x+x²
b)Ache y’’’ para a função 2y⁴+ 5xy= -3x+x²
c)Encontre a derivada de segunda ordem para a função implícita 2x²y⁴+ xy= yx²+4
Mais derivadas
Assintota (Assintota horizontal, Assintota Vertical e Assintota Oblíqua)
O que são Assintotas? Assintotas são rectas que o gráfico de uma determinada função tende …
Derivada da função arctan(x) e arcctg(x)
Derivada de Funções Trigonométricas Inversas: Arctangente e Arcocotangente Após estudarmos as deriva…
Derivada de funções trigonométricas inversas y=arcsen(x) e y=arccos(x)
Dando início ao estudo das derivadas de funções trigonométricas inversas, começaremos pelas funções …
Derivada da função tangente e co-tangente
Nesta aula, aprenderemos a derivar as funções tangente e co-tangente. Para isso, utilizaremos exercí…
Derivada de funções trigonométricas (derivada de senx e cosx)
Derivada da função senx e cosx Nessa aula aprenderemos a derivar as funções trigonométricas do …
Derivada do quociente de função (Regra do quociente)
Derivada do quociente Para acharmos a derivada de y (derivada do quociente de u e v) Vamos…
Derivada do produto de função (Regra do produto)
Derivada do produto Vamos colocar logaritmo natural nos dois lados para desfazermos o produto. funçã…
Derivada de funções logarítmicas
Derivada de uma função logarítmica Nessa aula iremos aprender como derivar funções logarít…
Derivada de uma função irracional (Derivada de uma função que contem raiz)
Derivada de uma expressão irracional simples Vamos primeiro a achar a fórmula que nos permite deriva…








